Survival analysis corresponds to a set of statistical approaches used to investigate the time it takes for an event of interest to occur. ggsurvplot() is a generic function to plot survival curves.
ggsurvplot()
Data & Functions
Define database and description of functions
One group
Most basic curve
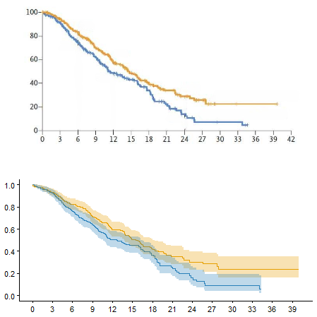
More than one group
Curves with more than one group
Combine survival and cumulative incidence curves
Color space between two survival curves
Reconstruct Kaplan-Meier curves